Смотреть видео: Молекула гемоглобина является примером какой структуры



Молекула гемоглобина является примером какой структуры

Молекула гемоглобина является примером какой структуры
Амфотерные свойства аминокислот катионная форма биполярный ион
Малярия: что это, как передаётся, возбудитель, симптомы, диагностика, лечение, п
Белок гемоглобина имеет структуру
Характеристика мембран эритроцитов.
Белок гемоглобина имеет структуру
red blood cells Archives Med Lab Study Hall
Роль свободных аминокислот внутри организма. Структуры белковой молекулы. Лекция
Молекула гемоглобина является
Курс Биологическая химия Тема 2 Гемоглобин Осташкова Валентина
Вместо крови
Какие вещества не являются сложными белками. Состав и строение белков Гипермар
Какую структуру имеет молекула гемоглобина
Картинки ГЕМОГЛОБИН СОСТОИТ ИЗ
Какие особенности строения белков
Биохимия эритроцита. Структура гемоглобина. Синтез гема презентация, доклад, п
Картинки ВТОРИЧНАЯ СТРУКТУРА ГЕМОГЛОБИНА
Соединение молекулы гемоглобина с кислородом
Гемоглобин химия презентация
Делаем съедобную модель хлорофилла чтобы понять, что происходит с растениями осе
Молекулы гемоглобина имеют особое строение для транспортировки кислорода, которы
Поиск фото МОЛЕКУЛА ГЕМОГЛОБИНА ИМЕЕТ СТРУКТУРУ ПЕРВИЧНУЮ
У меня плохой гемоглобин". Что такое гемоглобин и бывает ли он плохой. What is h
Водородные связи
Хлорофилл жидкий Соки, нектары, морсы купить по выгодной цене на Яндекс Марк
Урок "Кровь, ее состав и функции в организме"
Какую структуру имеет молекула гемоглобина
Превращение белков жиров и углеводов в организме
Какое вещество отвечает за фотосинтез растений
Can 5G exposure alter the structure and function of hemoglobin, causing coronavi
Порфирия что это такое, причины, виды, диагностика, лечение
Can 5G exposure alter the structure and function of hemoglobin, causing coronavi
Порфирия что это такое, причины, виды, диагностика, лечение
Пониженная концентрация гемоглобина в крови, норма у женщин и мужчин, постоянная
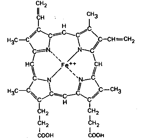
Схема строения молекулы гемоглобина
Эритроциты Стр 2
PPT Chapter 17 Blood PowerPoint Presentation, free download ID:2136776
Гемоглобин химический состав
Надмолекулярные структуры презентация, доклад, проект скачать
УРОВНИ СТРУКТУРНОЙ ОРГАНИЗАЦИИ БЕЛКОВЫХ МОЛЕКУЛ ОСОБЕННОСТИ СТРОЕНИЯ Основные
Pinterest
ЦЕЛЬ РАССМОТРЕТЬ КЛЕТКИ КРОВИ И ВЫЯСНИТЬ ВЗАИМОСВЯЗЬ ИХ
Генотипическая гетерогенность. Полиморфизм белков. (Лекция 1.2) презентация он
Молекула гемоглобина
6 3 Human Blood YouTube
Азотосодержащие органические соединения. Белки
Гемоглобин схема фото и видео
Structure of Hemoglobin Science biology, How to memorize things, Molecule diagra
PPT ГЕМОГЛОБИН PowerPoint Presentation, free download ID:5900747
Closeup of Iron Heavy Plates Stacked of Gym Apparatus in Fitness Gym Stock Illus
File:1904 Wikipedia
Урок биологии, 8 класс. Тема: "Плазма крови, ее состав. Форменные элементы крови
WHOLEDUDE WHOLEDESIGNER RED BLOOD CELL Red blood cells, Chlorophyll, Blood c
РЕАЛИЗАЦИЯ БИОЛОГИЧЕСКОЙ ИНФОРМАЦИИ В КЛЕТКЕ Тонкая структура
Анемия: что это такое, симптомы, классификация по степени тяжести, лечение в ста
Полугодовая проверочная работа по биологии 9 класс
Гемоглобинопатия аномальные варианты гемоглобина Университетская клиника
Картинки ВТОРИЧНАЯ СТРУКТУРА ГЕМОГЛОБИНА
Гемоглобин қазақша презентация
Структура белка: введение для айтишников / Хабр