Смотреть видео: Пример расчета массы эквивалента для оксида



Пример расчета массы эквивалента для оксида

Пример расчета массы эквивалента для оксида
ЭКВИВАЛЕНТ. МОЛЯРНАЯ МАССА ЭКВИВАЛЕНТА
Как рассчитать молярную массу эквивалента
Эквивалент серной кислоты равен
Эквивалент Естествознание
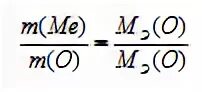
В оксиде эквивалентная масса металла в полтора раза больше, чем эквивалентная ма
Задачи на эквиваленты по химии
Решение. Эквивалентную массу koh рассчитаем по формуле
Молярная масса al oh
Рассчитать молярную массу эквивалента серной кислоты
Эквивалент, молярная масса эквивалента фосфористой кислоты Задача 20
Формула расчета калия Фитостудия-63.ру
На реакцию с образцом технического сульфита натрия массой 9 г затратили раствор
Фото МАССА ЭКВИВАЛЕНТА КАЛЬЦИЯ
Молярная масса эквивалента оксида меди
Молярная масса эквивалента основания
1. Эквивалент. Закон эквивалентов
Вариант 21
Фотографии ЭКВИВАЛЕНТ ОКСИДА МЕТАЛЛА
Рассчитайте молярные массы эквивалентов окислителя и восстановителя
Foto КАК НАЙТИ МАССУ ЭКВИВАЛЕНТА
Разное Страница 262 Таловская средняя школа
3.2.2. Расчеты по закону эквивалентов.
Как найти молярную массу кислорода
1. Определите, где содержится больше атомов. Ответ обоснуйте вычислениями. Поста
Образец сульфида алюминия массой 25 г с содержанием примесей 10 Фотоподборки 1
Вычисление молекулярной массы соединений
Вычислите молярную массу эквивалентов металла
Масса эквивалента соли
Картинки ЭКВИВАЛЕНТНАЯ МАССА СЛОЖНОГО ВЕЩЕСТВА
Эквивалентная масса no2
Фотографии ЭКВИВАЛЕНТ ОКСИДА МЕТАЛЛА
Молярный эквивалент металла
Рассчитанная эквивалента металла
Молярная Масса Эквивалента Гидроксида Железа 3 Telegraph
Фото МАССА ЭКВИВАЛЕНТА
Двухвалентный оксид водорода
Формула для вычисления эквивалентной массы: примеры и объяснение Отражения мира
Масса эквивалент h2s
Рассчитайте эквивалентные массы соединений
Тема: "Основные понятия и законы химии". Решение расчетных
Фото подборка МОЛЯРНАЯ МАССА ЭКВИВАЛЕНТА ОКСИДА ФОРМУЛА
Рассчитайте эквивалентные массы соединений
Вычислите молярную массу эквивалентов металла
Фото подборка МОЛЯРНАЯ МАССА ЭКВИВАЛЕНТА ОКСИДА ФОРМУЛА
Буферные растворы презентация, доклад
№ 148. Неорганическая химия. Тема 17. Основные законы химии. Часть 3. Закон экви
Картинки КОЛЯ РЕШИЛ ОПРЕДЕЛИТЬ МАССУ ОДНОЙ МЕТАЛЛИЧЕСКОЙ
Молярная масса f2
Масса эквивалента простого вещества
Расчет фактора эквивалентности 25 фото из 48
Молярная масса эквивалента оксида алюминия
Химическое количество эквивалента
Как найти число эквивалента
Фотографии ЭКВИВАЛЕНТ ОКСИДА МЕТАЛЛА
№ 113. Неорганическая химия. Тема 11. ОВР. Часть 26. Задачи на эквивалентные мас
Эквивалент металла в его оксиде Задание 6
Фото подборка МОЛЯРНАЯ МАССА ЭКВИВАЛЕНТА ОКСИДА ФОРМУЛА
Ответы : Фактор эквивалентности NaOH Определите фактор эквивалентности ги